近年來,隨著材料表面工程學的快速發展,越來越多的表面涂層技術不斷涌現,其中濺射鍍膜工藝因其具有沉積速率快、操控容易、穩定性高、可大面積成膜等特點,已經廣泛應用于五金裝飾鍍層、電子產品鍍層、汽車及建筑等領域中[1,2]。 濺射靶材的性能會直接影響薄膜的綜合質量,因此對靶材制備工藝的研究尤為重要。
鈦鋁合金具有密度低、耐熱性好、高耐磨和高溫抗氧化性好等性能[3-5],常常用于刀具、模具等硬質合金的涂層。 鈦和鋁之間可以形成多種金屬間化合物,導致鈦鋁合金存在加工脆性,尤其當鋁元素的原子含量大于 50%時,合金的抗氧化能力降低,合金化時極易產生氣泡,降低靶材的致密度。 這些問題的存在都極大地增加了鈦鋁靶材的制備難度[6,7],但國內外關于對鈦鋁靶材制備工藝的系統研究較少。 本文采用熱等靜壓工藝制備鈦鋁合金靶材,重點研究熱等靜壓燒結溫度(1150~1350℃)對鈦鋁靶材致密度、晶粒尺寸、硬度等性能的影響,該研究對后續鈦鋁靶材制備工藝的發展起到了一定的指導意義。
1、實驗
1.1 實驗原材料
采用純度均為99.99%的鈦粉和鋁粉作為原料粉,鈦和鋁的原子比為 1∶ 1,兩者的平均粒徑D50 分別為60μm和 80μm。 熱等靜壓燒結過程中選用鋼包套。
1.2 實驗過程
將鈦粉和鋁粉放入V型混料機混合均勻,轉速 80r/min,混料時間為 10 h。 將混合均勻的鈦鋁粉裝入特制的橡膠包套中先進行冷等靜壓,保壓壓力為 180MPa,保壓時間為 3 min,得到致密度為 52%的鈦鋁素坯,之后將素坯裝入特制的鋼包套中,包套密封前先進行抽真空排氣(圖 1(a))。 將排氣完成后的鋼包套放置于熱等靜壓爐中進行熱等靜壓燒結,燒結溫度分別為 1150 ℃、1250 ℃、1350℃,保壓壓力為130MPa,保壓時間為2h。 
熱等靜壓結束后包套(圖 1(b))采用機械切割方法剝離得到鈦鋁靶材。

(a)燒結前;(b)燒結后
圖 1 包套熱等靜壓燒結前后對比圖
1.3 材料表征
采用日本理學公司生產的 UltimaIV 型 X 射線衍射儀(XRD)來分析靶材物相。 采用美國 FEI 公司生產的 Quanta 250 FEG 型掃描電子顯微鏡(SEM)來觀察靶材微觀形貌。 通過 Nano Measurer 軟件分析測量高分辨率的 SEM 圖,選取 120 個左右晶粒測量平均值,得到鈦鋁靶材的平均晶粒尺寸。 采用日本 JEOL公司生產的 JXA 8530F 的電子探針(EPMA)檢測靶材元素分布狀況。 采用上海研潤光機科技公司生產的HV50Z 型硬度計測量靶材的維氏硬度,正四棱錐金剛石壓頭,載荷為 5 kg,加載時間為 15 s,每個樣品測量兩次,取其平均值。 采用阿基米德排水法測量靶材密度。
2、結果與討論
2.1 燒結溫度對靶材物相的影響
圖 2 分別為燒結溫度 1150 ℃、1250 ℃、1350 ℃條件下鈦鋁靶材的 X 射線衍射圖。 由圖可知,三種鈦鋁靶材的衍射峰與標準卡片為 650428 的 TiAl 衍射峰一致,并沒有其他物相出現,說明燒結溫度在 1150 ℃以上時,鈦和鋁兩種物質完全形成合金化組織 TiAl,熱等靜壓燒結過程中的高溫高壓條件推動了反應向合金穩定相發展[8]。

圖 2 不同燒結溫度的鈦鋁靶材的 X 射線衍射圖
2.2 燒結溫度對靶材相對密度的影響
圖 3 為不同燒結溫度下鈦鋁靶材的相對密度。
由圖可知,在燒結溫度為 1150 ℃、1250 ℃、1350 ℃時,鈦鋁靶材的相對密度分別為 98.35%、99.72%和99.80%。 由于燒結溫度 1150 ℃過低,靶材并沒有達到致密化。 當燒結溫度高于 1250 ℃時,靶材幾乎達到完全致密。 當溫度繼續增加到 1350 ℃,致密度增加不大。 致密度較低的靶材在濺射過程中,靶材表面會產生很多“瘤狀”突起物,這種現象稱之為靶材毒化,靶材“中毒”會降低鍍層的性能,從而影響刀具模具的使用壽命,同時密度較低的靶材會增加鍍膜過程中靶材開裂的概率[9-11]。 因此,通過制定合理的工藝參數提高鈦鋁靶材致密度的研究是十分重要的。

圖 3 不同燒結溫度的鈦鋁靶材的相對密度
2.3 燒結溫度對靶材晶粒尺寸的影響
圖 4 為不同燒結溫度下鈦鋁靶材的表面微觀組織圖以及對應的晶粒尺寸分布圖。 
由圖可知,燒結溫度為 1150 ℃、1250 ℃、1350 ℃時靶材的平均晶粒尺寸分別為 71.17 μm、78.70 μm 和 86.89 μm。 隨著燒結溫度的提高,靶材的平均晶粒尺寸不斷增大。 當燒結溫度為 1150 ℃時,材料表面存在大量微小孔洞,導致靶材致密度較低,在該溫度條件下,體積擴散和晶界擴散機制對燒結體起到收縮作用,晶粒開始正常生長,氣孔不斷縮小,但由于燒結溫度較低,這些氣孔并不能通過物質遷移機制排出體外[12]。 當燒結溫度為1250 ℃ 時,該階段致密化過程基本完成。 當燒結溫度繼續提高至 1350 ℃時,孔隙數量的減少會減弱對晶界的釘扎作用,晶界的遷移速度加快,開始“自由”運動,晶界與孔隙脫鉤,致使該階段的燒結體致密度幾乎保持不變,晶粒尺寸異常長大[13],這一機理同樣解釋了圖 2 延長燒結溫度可以提高靶材致密度的現象[14],但是晶粒過大的靶材不僅會降低薄膜的沉積效率,還會降低薄膜表面的均勻性,只有燒結溫度為1250 ℃時才能制備出致密化細晶的 TiAl 靶材。
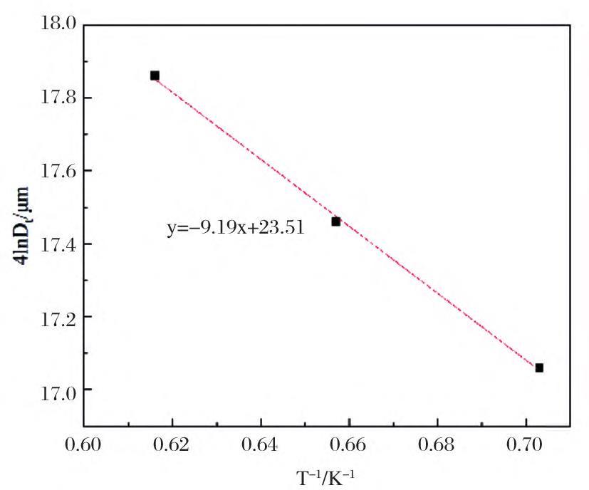
根據 Arrhenius 方程[15],晶粒生長速率 k 如式(1)所示:

式中,k 0 為常數,Q 為晶粒長大激活能,R 為氣體常數(R=8.314J/ mol/ K),T 為燒結溫度。 通過式(1)
得知,晶粒生長速率與燒結溫度 T 成正比,燒結溫度促進晶粒長大主要是由于晶界遷移速率加快。 根據晶粒生長動力學方程,如式(2)所示:

式中,D 為晶粒尺寸,t 為燒結時間,n 為晶粒指數,取決于燒結過程中的物質輸運機制,晶格擴散控制型 n=3,晶界擴散控制型 n = 4[16],通過 2.2、2.3 節分析,本實驗條件參數下的鈦鋁靶材的晶粒指數為 4。
對式(2)等式兩邊取對數得式(3):

式中,D 0 為初始晶粒尺寸,因為 D 0 <<D t ,D 0 可忽略不計。 通過式(3)可以看出,晶粒尺寸和燒結溫度為線性關系函數,分別將晶粒尺寸和燒結溫度的數值
帶入公式(3)中,通過計算出直線斜率(圖 5)可以得到靶材晶粒長大激活能為 76.4 KJ/ mol。

圖 4 不同燒結溫度下鈦鋁靶材的表面微觀組織圖及晶粒尺寸

圖 5 鈦鋁靶材的 T-1 與 4lnDt 關系圖
2.4 燒結溫度對靶材硬度的影響
圖 6 為不同燒結溫度下鈦鋁靶材的硬度表面壓
痕形貌圖,具體測量值見表 1。 經測量分析,燒結溫度為 1150 ℃、1250 ℃、1350 ℃時靶材的平均維氏硬度分別為378HV、399.7HV、395.2HV,維氏硬度隨著燒結溫度的提高先增大后減小。 當燒結溫度從 1150 ℃提高至 1250 ℃時,鈦鋁靶材達到致密化,維氏硬度大幅度增加。 繼續升高燒結溫度,出現硬度降低的情況,主要是由于靶材晶粒尺寸異常長大導致的,晶粒細化可以有效的提高材料常溫下的硬度[17],這一現象也與Hall-Petch 關系式相符合[18,19],靶材過燒降低了其力學性能。 靶材在濺射過程中會受到高速粒子的轟擊,這就要求靶材要具有良好的力學性能,硬度高的靶材可以提高靶材的使用壽命和利用率[20-22]。

綜上所述,當燒結溫度為 1250 ℃時所制備出的鈦鋁靶材綜合性能優良,將該溫度條件下的鈦鋁靶材進行電子探針分析(圖 7),可以看出,經過 1250 ℃高溫燒結后,Ti 元素、Al 元素呈現均勻分布狀態,符合靶材應用要求。

(a)1150 ℃;(b)1250 ℃;(c)1350 ℃
圖 6 不同燒結溫度的鈦鋁靶材的表面壓痕形貌圖

圖 7 燒結溫度為 1250 ℃的鈦鋁靶材的 EPMA 圖
3、結論
(1)采用熱等靜壓工藝制備高性能鈦鋁靶材,當熱等靜壓燒結溫度高于 1150 ℃,鈦和鋁完全形成合金化組織 TiAl 相。
(2)鈦鋁靶材的致密度和晶粒尺寸隨著燒結溫度的升高而增大,致密度從 98.35%提高至 99.80%,晶粒尺寸從 71.17 μm 增大至 86.89 μm。
(3)隨著燒結溫度的升高,靶材的維氏硬度先增大后減小,在燒結溫度為 1250 ℃時維氏硬度有最大值為 399.7HV,且該溫度條件下制備的靶材元素分布均勻。
參考文獻
[1]陳希,黃蓉,鄔曄. 鈦鋁合金濺射鍍膜靶材的研究進展[J]. 湖南有色金屬,2012,28(1):51-53.
[2]HEO K C,SOHN Y,GWAG J S. Effects of an additional magneticfield in ITO thin film deposition by magnetron sputtering[J]. CeramicsInternational,2015,41(1):617-621.
[3]KIM S W,HONG J K,NA Y S,et al. Development of TiAl alloys withexcellent mechanical properties and oxidation resistance[J]. Materialsand Design,2014,54(2): 814-819.
[4]SINA H,IYENGAR S. Reactive synthesis and characterization oftitanium aluminides produced from elemental powder mixtures[ J].Journal of Thermal Analysis and Calorimetry,2015,122(2):1-10.
[5]趙 珍 珍,方 慶,謝 玉. 一 種 鈦 鋁 合 金 靶 材 的 生 產 方 法:201310088019.1[P]. 2013-07-17.
[6]張鳳戈,姚偉,唐培新,等. 一種鈦鋁合金靶材的粉末冶金制備方法:200710303869.3[P]. 2008-07-09.
[7]李勇,王秋林,朱金波,等. 粉末冶金制備鈦鋁合金技術現狀及展望[J]. 成都航空職業技術學院學報,2020,36(3) : 74-77+80.
[8]GUPTA R K,BHANU P,VIJAYA A,et al. Effect of Pressure andTemperature on Phase Transformation and Properties of TitaniumAluminide Obtained through Reaction Synthesis[ J ]. Journal ofMaterials Science and Technology,2010,26(8): 693-704.
[9]劉全義,崔子振,謝飛,等. 粉末預處理工藝對鋁鈦靶材氧含量和鋁基體晶粒尺寸的影響[J]. 熱加工工藝,2022,51(14): 38-40.
[10]TRZASKA Z,BONNEFONT G,FANTOZZI G,et al. CoMParison ofdensification kinetics of a TiAl powder by spark plasma sintering andhot pressing[J]. Acta Materialia,2017,135:1-13.
[11]MEDVEDOVSKI E,ALVAREZ N A ,SZEPESI C J,et al. Advancedindium tin oxide ceramic sputtering targets (rotary and planar) fortransparent conductive nanosized films[ J]. Advances in AppliedCeramics,2014,112(5): 243-256.
[12]黃培云,粉末冶金原理[M],北京: 冶金工業出版社,1997: 269-271.
[13]孫志平,張年龍,羅文嚴. 熱壓燒結制備高 Nb-TiAl 合金燒結工藝研究[J]. 齊魯工業大學學報,2015,29(4): 40-43.
[14]LIU H W,PLUCKNETT K P. Titanium aluminide (Ti-48Al) powdersynthesis,size refinement and sintering[ J]. Advanced PowderTechnology,2017,28(1),314 – 323.
[15]ROY S,ROY T K,DAS D. Grain growth kinetics of Er 2 O 3 dopedZnO-V 2 O 5 based varistor ceramics[J]. Ceramics Internation,2019,45(18): 24835-24850.
[16]邵渭泉,陳沙鷗,李達,等. α-Al2O3 燒結激活能變化趨勢的研究[J]. 材料導報,2007,21(12) :145-148.
[17]胡賡祥,蔡珣,材料科學基礎[M],上海: 上海交通大學出版社,2010:.184-185.
[18]盧金文,趙永慶,葛鵬,等. Ti-Mo 系鈦合金 β 晶粒長大規律及晶粒尺寸對硬度的影響[J]. 稀有金屬材料與工程,2013,42(11) :2269-2273.
[19]曹鵬,芮執元,付蓉,等. 晶粒尺寸對 γ-TiAl 合金力學性能影響的納米壓痕研究[J]. 稀有金屬材料與工程,2021,50(6) : 2052
-2060.
[20]張俊凱,高品質金基合金濺射靶材的開發與制備[D]. 東北: 東北大學材料與冶金學院,2014.
[21]董磊,王晨,劉歡,等. Mg2+摻雜 Li 4 Ti 5 O 12 陶瓷靶材的制備及其性能研究[J]. 人工晶體學,2018,47(02): 348-353.
[22]BROTZU A,FELLI F,MARRA F,et al. Mechanical properties of aTiAl - based alloy at room and high temperatures[ J]. MaterialsScience and Technology,2018,34(15): 1847-1853.
 相關鏈接